高出力で反復性の高いイッテルビウムドープ超高速レーザーは、研究や産業の用途に非常に価値があります。 ただし、このレーザー システムのスペクトル帯域幅 (10 nm) は狭いため、スペクトルを広げるための自己位相変調に基づく多数の後圧縮技術の出現につながりました。 マルチパスキャビティ技術の圧縮効率は 90% を超える可能性があり、均一な空間分布を持つ高エネルギー、高平均出力の超短パルスを生成します。
この論文では、マルチパスキャビティ内の圧縮プロセスを数値的にシミュレートし、広がったスペクトルが滑らかな位相を持ち、きれいな圧縮パルスが得られるようにシステムパラメータを最適化する方法を示します。
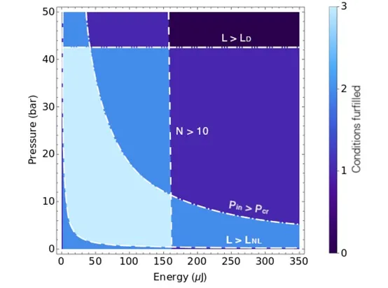
著者らは、分散フーリエ数値法を使用して、マルチパスキャビティ内のパルスの伝播をシミュレートしました。 回折、分散、自己位相変調、自己急峻化などの効果がシミュレーションで考慮され、マルチパス キャビティ内のガスは不活性ガスであるため、ラマン効果は無視できます。 キャビティ内のパルス強度はイオン化閾値以下に制御されるため、イオン化効果も無視できます。 実際のマルチパスキャビティシステムは、次の 4 つの条件を満たす必要があります。 (1) キャビティ内の光学長が非線形長より大きく、分散長より小さい、つまり < L<; (2) the upper limit of the soliton order is less than 10, i.e., N = √ < 10; (3) avoiding self-focusing, <; and (4) avoiding ionization. Satisfying the above four conditions at the same time, the input pulse center wavelength is 1030 nm, the pulse width is 150 fs, the curvature of the multi-pass cavity lumen is 40 cm, the distance of the cavity lumen is 40 cm, and the pulse goes back and forth within the cavity 20 times. At this time to meet the actual multi-pass cavity needs of the pressure and pulse energy range shown in Figure 1 light blue region.

図 1 マルチパスキャビティパラメータ領域。
The spectral characteristics of the output pulse are measured by two parameters, the half-height full width and the spectral cleanliness C. The spectral width of the output pulse is the limit of compression. The spectral width demonstrates the limiting pulse width of the pulse compression, while the spectral cleanliness C characterizes the cleanliness of the compressed pulse (high percentage of main peak energy and low intensity of secondary pulses). At C > 0.9 the compressed pulse has a primary peak energy share of >98パーセント、二次パルス強度は<0.5%. Figure 2 shows the spectral half-height widths of the multi-pass cavity with different parameters and the spectral cleanliness C. It can be seen from the figure that wide and clean spectra can only be obtained when the pressure and energy satisfy certain conditions.

図 2 エネルギー圧力図におけるパルスのクリーン度。
図 2 から、パルスエネルギーが 100 μJ、圧力が 10 bar の場合に、より良い圧縮結果が得られることがわかります。関連するシミュレーション結果が図 3 に示されています。スペクトルの空間均一性が分析されています。図 3(a) と図 3(b) では、x 軸と y 軸のスペクトルがまったく同じであり、空間均一性が良好であることがわかります。 図 3(c) と 3(d) はパルス幅とスペクトルを示しており、スペクトルには大きな底部のトレーリングと滑らかな放物線状の位相があり、これは 14.2 fs の変換限界パルスに相当することがわかります。

図 3 エネルギー 100 でのパルスの拡大と圧縮の結果の、x 軸 (a) と y 軸 (b) の空間スペクトル分布、およびパルス幅 (c) とスペクトル (d) 分布10バールのアルゴンで満たされたMPC内のμJ。
図 4 は、マルチパス キャビティ デバイスを通過するパルスの各往復におけるスペクトルとスポットの変化を詳細に示しています。 図 4(a) 1/スペクトルはスペクトル清浄度パラメータの変化と一致しており、スペクトルの半値幅は 10 往復後も一定のままですが、1/スペクトルは増加し、スペクトルのベースが大きくなっているように見えます。 図 4(b) のプロットは、最終的な出力スポットを完全なガウスとして示しています。 図 4 (c) は、スポット サイズの変化を示しています。スポット サイズは全体を通して滑らかに変化し、後続のパルスの圧縮率を確保します。

図 4 (a) は、各往復後のスペクトル拡散の変化を示しています。 (b) 伝播終了時の空間パターンを示します。 (c) は、ガスなし (青線) とガスあり (点) での伝播中の横ビーム サイズの比較を示しています。
この論文では、マルチパスキャビティを使用してパルスを圧縮する場合、パルスエネルギーとガス圧力を組み合わせて最適化することにより、広くクリーンなスペクトルと高品質の圧縮パルスが得られることを数値シミュレーションによって実証します。実用的なマルチパス キャビティ システムのその後の構築のためのガイドを提供します。





